教你如何在Fedora,CentOS,RHEL中检查RPM包的依赖性
我们都知道,在基于红帽的Linux系统中,一个RPM包,需要把先将它依赖的其他包安装好才能正常的工作。对于终端用户,RPM的安装、更新、删除中存在的依赖关系已经被工具透明化了(如 yum或 DNF等)。但如果你是系统管理员或者RPM包的管理员,你需要谙熟RPM包的依赖关系,以便及时更新、删除适当的包来保证系统的正常运行。
在本教程中,我将教大家如何检查RPM包的依赖关系。无论这个包是否已经安装进操作系统中,我们都有一些办法来检查它们的依赖性。

方法一
使用RPM命令可以列出目标包所依赖的所有包,如下: $ rpm -qR

注意,这种方法只适用于已安装的包。如果你需要检查一个未安装包的依赖关系,你首先需要把这个包先下载到本地来(不需要安装)。
要下载一个 RPM 包而不安装,可以使用叫做'yumdownloader'的工具,下面我们先安装yumdownloader:
$ sudo yum install yum-utils
现在我们来检查一个未安装的RPM包的依赖关系(本例使用 tcpdump)。首先,我们使用yumdownloader把tcpdump的RPM包下载下来
$ yumdownloader --destdir=. tcpdump
然后再使用 "-qpR"参数显示该包的依赖关系。
# rpm -qpR tcpdump-4.4.0-2.fc19.i686.rpm
方法二
你可以使用repoquery工具来罗列包的依赖关系,它与包是否安装无关,这个工具包含在yum-utils中。
$ sudo yum install yum-utils
显示目标包所依赖的包:
$ repoquery --requires --resolve <package-name>

为让repoquery正常的工作,需要保持网络的畅通,应为repoquery需要在Yum库中查找信息。
方法三
第三个方法是使用rpmreaper工具。这个工具本来是用作清理系统中无用以及它们所依赖的包,rpmreaper有很直观的ncurses界面来展示已安装的包和它们依赖关系的树形图。
安装rpmrepater,在CentOS中,你需要先设置好EPEL库
$ sudo yum install rpmreaper
只需运行rpmreaper就可以看到RPM包的依赖关系:
$ rpmreaper

rpmrepater会向用户显示已安装包的列表,你可以使用上/下箭头来滚动屏幕。
你可以在指定包上使用"r"键来显示其依赖关系,循环在指定包上按下"r"键可以展示出余下的信息。
"L"标志的意思是说这个包是一片“孤叶”,意思说说没有任何包依赖它。
"o"标志是说这个包是整个依赖链的中间部分。
按下"b"键会显示其他依赖于该包的其他包。
方法四
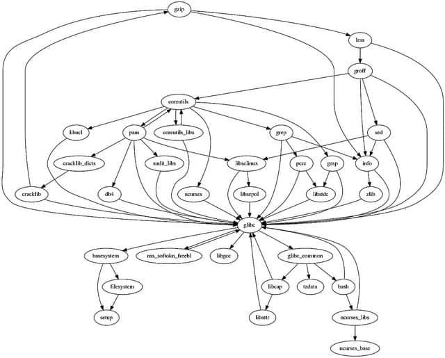
还有一个办法是使用rpmdep工具,rpmdep是一个命令行工具,可以显示已安装包的完整包依赖关系图。该工具会分析RPM包的依赖性,从完整的排完序的拓扑图中摘取部分包的信息,形成列表展示给用户。该工具的输出结果可以直接使用到Dotty(可视化展示工具)中去。
在Fedora中安装rpmdep和dotty:
$ sudo yum install rpmorphan graphviz
在CentOs中安装: $ wget http://downloads.sourceforge.net/project/rpmorphan/rpmorphan/1.14/rpmorphan-1.14-1.noarch.rpm $ sudo rpm -ivh rpmorphan-1.14-1.noarch.rpm $ sudo yum install graphviz
生成包依赖的拓扑关系图(例如 gzip):
$ rpmdep.pl -dot gzip.dot gzip $ dot -Tpng -o output.png gzip.dot

教程到这个地方,我们用到了几种办法来检查包的依赖关系。如果您想知道如何在居于Debian的系统中检查.deb的包依赖关系,请阅读另外一篇文档。
via: http://xmodulo.com/2014/07/check-rpm-package-dependencies-fedora-centos-rhel.html
古人的评论
微博评论 2014-08-16 16:33:01
arhool 2014-08-16 17:01:55
微博评论 2014-08-16 17:03:01
微博评论 2014-08-16 17:33:00
微博评论 2014-08-16 17:33:00
微博评论 2014-08-16 18:33:00
微博评论 2014-08-16 20:03:00
微博评论 2014-08-16 20:03:00
微博评论 2014-08-16 23:03:03
微博评论 2014-08-16 23:03:03
微博评论 2014-08-16 23:03:03
微博评论 2014-08-16 23:33:01
微博评论 2014-08-16 23:33:01
微博评论 2014-08-17 00:03:01
微博评论 2014-08-17 03:33:00
netb2c 2014-08-17 06:54:10
netb2c 2014-08-17 06:57:59
微博评论 2014-08-17 07:03:00
linux 2014-08-17 21:45:18
微博评论 2014-08-18 15:33:00